• Предмет: Математика
  • Автор: losiksofia050
  • Вопрос задан 3 года назад

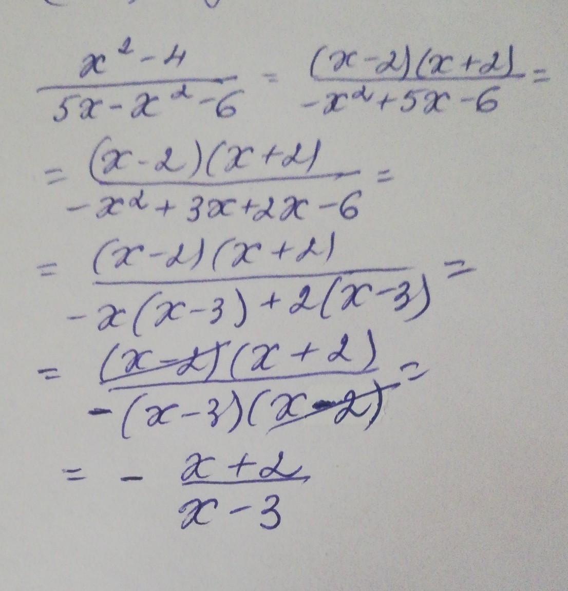
Розв’язати рівняння x^2-4/5x-x^2-6

Ответы

Ответ дал: serovaksusa1
2

Ответ:

Смотри решение на фото

Приложения:
Вас заинтересует