• Предмет: Алгебра
  • Автор: kkskskskskksks
  • Вопрос задан 3 года назад

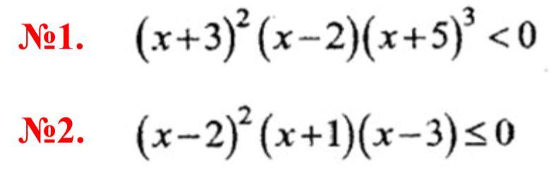
Целое рациональное неравенство.Решите

Приложения:

Ответы

Ответ дал: Kastrator
1

Ответ:

постав найкращу відповідь, будь ласка

Приложения:
Вас заинтересует