• Предмет: Алгебра
  • Автор: Hoongjoong
  • Вопрос задан 3 года назад

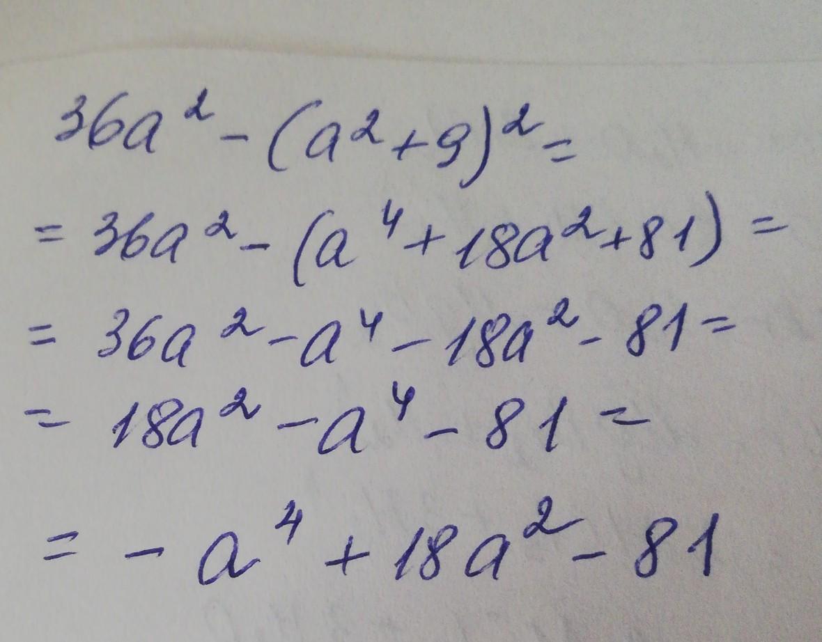
36a^2-(a^2+9)^2........

Ответы

Ответ дал: serovaksusa1
0

Ответ:

Смотри решение на фото

Приложения:

serovaksusa1: это выражение надо купростить или разложить на множители?
serovaksusa1: Я упростила, если надо было разложить на множители, напишите, я решу, пока могу что то изменить
Ответ дал: Fishtail
0

Ответ:

18a^{2} -a^{4} -81

Объяснение:

36a^2-(a^2+9)^2 = 36a^2-((a^2)^{2} +18a^2+81) = 36a^2-(a^4 +18a^2+81) = 36a^2-a^4 - 18a^2- 81 = 18a^2 - a^4 - 81

Вас заинтересует