• Предмет: Алгебра
  • Автор: pognasta93
  • Вопрос задан 3 года назад

дам 15 балов за ответ прош у умоляю даже 20 балов до 12:20​

Приложения:

Ответы

Ответ дал: babenkoliza2008
1

Ответ:

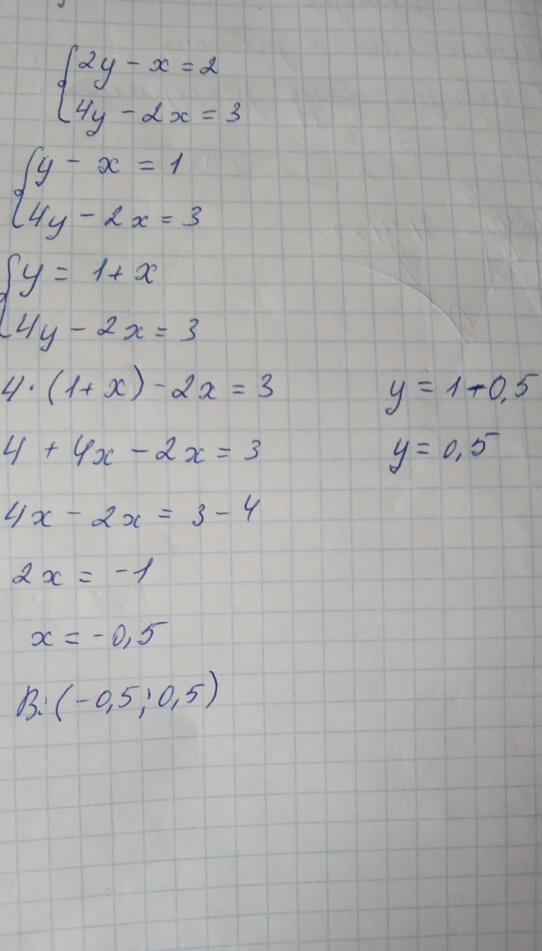
Вродибе так, помогла чем могла

Приложения:
Ответ дал: Tosiushka3445
1

Объяснение:

это последнее ...............

Приложения:

Tosiushka3445: в первом (1;1)
pognasta93: спасибо❤ как дать тебе 20 балов?
Tosiushka3445: это нужно было сразу выставлять, но ничего)))) приятно быть просто полезной
pognasta93: извини((
Вас заинтересует