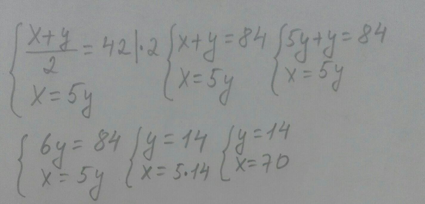
середнє арифметичне двох чисел дорівнює 42.Знайди ці числа, якщо одне з них у 5 разів менше за друге
Ответы
Ответ дал:
2
середнє арифметичне двох чисел дорівнює 42.Знайди ці числа, якщо одне з них у 5 разів менше за друге
Приложения:

Вас заинтересует
2 года назад
2 года назад
9 лет назад
9 лет назад