• Предмет: Алгебра
  • Автор: ksksls
  • Вопрос задан 3 года назад

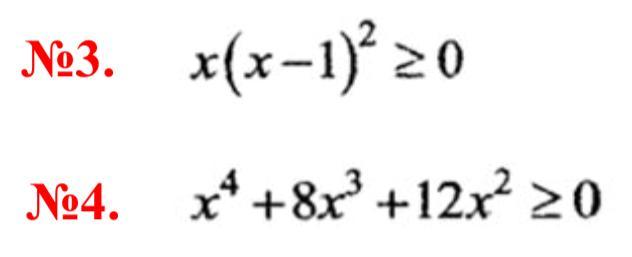
Целое рациональное неравенство.Решите

Приложения:

Ответы

Ответ дал: m11m
0

Ответ:

Объяснение:

!!!!!!!!!!!!!!!!!!!!!!!!

Приложения:
Вас заинтересует