• Предмет: Алгебра
  • Автор: SofiaSlipycha2007
  • Вопрос задан 3 года назад

пж допоможіть даю 20 балів!!!
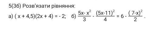
рівняння​

Приложения:

Ответы

Ответ дал: vh5x34i9g4
1

Ответ:

Объяснение: Ось відповідь

Приложения:

SofiaSlipycha2007: дякую!!!!
Вас заинтересует