Ответы
Ответ дал:
1
Ответ:
1248см
Объяснение:
Приложения:

Ответ дал:
1
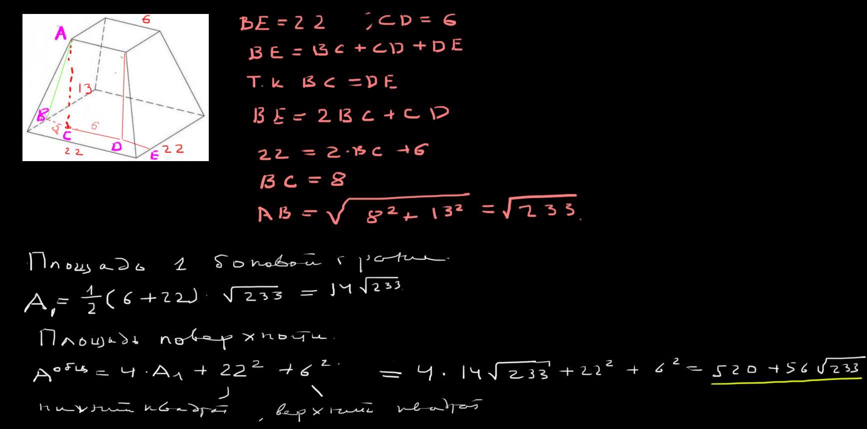
Ответ:
520+56*sqrt[233]
Объяснение:
см. рисунок.
Площадь всей поверхности = площадь 4 трапеций по бокам + 2 основания (2 квадрата);
В начале находим высоту трапеции.
Потом площадь одной трапеции, после этого умножаем ее на 4 и прибавляем площади квадратов
Приложения:

Вас заинтересует
2 года назад
2 года назад
2 года назад
8 лет назад
8 лет назад