Помогите пжпжпжпжпжпжпжжпжпжппжжпжпжпжпжпжпжпжпжп.
Приложения:

Foxy2711:
Помогите пжпжпжпжпж
Ответы
Ответ дал:
1
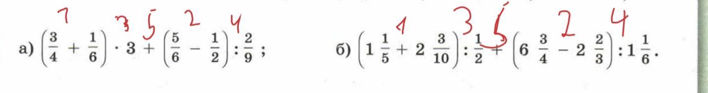
а)(3/4 + 1/6) * 3 + (5/6 - 1/2) : 2/9 = 4 1/4
1) 3/4 + 1/6 = 9/12 + 2/12 = 11/12
2) 5/6 - 1/2 = 5/6 - 3/6 = 2/6 = 1/3
3) 11/12 х 3/1 = 33/12 = 11/4
4) 1/3 : 2/9 = 1/3 х 9/2 = 3/2
5) 11/4 + 3/2 = 11/4 + 6/4 = 17/4 = 4 1/4
б)(1 1/5 + 2 3/10) : 1/2 + (6 3/4 - 2 2/3) : 1 1/6 = 10 1\2
1) 1 1\5 + 2 3\10 = 1 2\10 + 2 3\10 = 3 5\10 = 3 1\2
2) 6 3\4 - 2 2\3 = 6 9\12 -2 8\12 = 4 1\12
3) 3 1\2 : 1\2 = 7\2 * 2\1 = 7
4) 4 1\12 : 1 1\6 = 49\12 * 6\7 = 7\2 = 3 1\2
5) 7 + 3 1\2 = 10 1\2
Вас заинтересует
2 года назад
2 года назад
2 года назад
2 года назад
8 лет назад