Просто вибрати правильні відповіді - СРОЧНО!!!!
Только выбрать правильные ответы - СРОЧНО!!!!!
Приложения:

Ответы
Ответ дал:
0
Ответ:
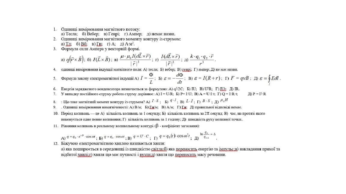
1. A
2. Г
3.Б
4. А
5.Д
6.Б
7.А
8.Г
9.А
10.Б
11.Д
12.В
antonukkarina:
незнаю чи правильно
Вас заинтересует
2 года назад
2 года назад
2 года назад
8 лет назад
8 лет назад
9 лет назад