• Предмет: Математика
  • Автор: Аноним
  • Вопрос задан 3 года назад

Помогите по матеше срочно ​

Приложения:

Ответы

Ответ дал: nikitabogoslov7
1

Ответ:

Буду писать сразу решение.

1) 5(x+1)=2(2x-3)+20

5x+5=4x-6+20

5x+5=4x+14

5x-4x=14-5

x=9

2) 3(11-3x)=2(x+13)-12x

33-9x=2x+26-12x

33-9x=-10x+26

-9x+10x=26-33

x=-7

3) 2(5x+8)+18x=3(7x+10)

10x+16+18x=21x+30

28x+16=21x+30

28x-21x=30-16

7x=14

x=2

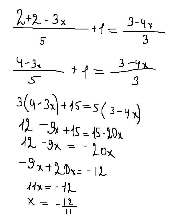
4) смотрите изображение

Приложения:

Аноним: как тебя лучшим отметить
nikitabogoslov7: Поставить 5 звезд, вроде как :)
nikitabogoslov7: Вроде бы, когда второй пользователь ответит, тогда вылезет окошко с лучшим ответом.
Аноним: а блин жаль, так бы сразу посетил у тебя лучший ответ, спасибо!
Аноним: пометил *
nikitabogoslov7: Вот, попробуйте сейчас.
Аноним: не, не получается
Вас заинтересует