• Предмет: Математика
  • Автор: Аноним
  • Вопрос задан 3 года назад

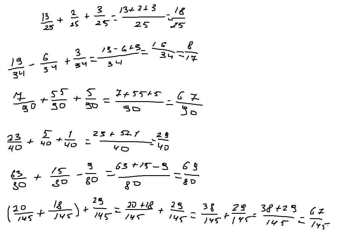
работа в паре третье задание Вычисли 13/25 плюс 2/25 плюс 3/25 равно 19/34 - 6 / 34 + 3 / 34 равно 7 / 90 + 55 / 90 + 5 / 90 равно 23 / 40 + 5 / 40 + 1 / 40 равно 63 / 80 + 15 / 80 минус 9/8020 20/145 + 18/145 + 9/29 / 145 равно​

Приложения:

Аноним: панпп

Ответы

Ответ дал: Человек999999
14

Ответ:

Пошаговое объяснение:

Приложения:

skritiylist: ето не правильно
Аноним: 13/25+2/25+3/25=18/25
Аноним: 19/34-6/34+3/34=16/34
Аноним: 1)18/34 это ответ
Аноним: 2)16/34
Аноним: 3)67/90
Аноним: 4)29/90
Аноним: 5)69/80
Аноним: 6)67/145
stervaktk: спасибо итенов8
Вас заинтересует