Ответы
Ответ дал:
0
Ответ:
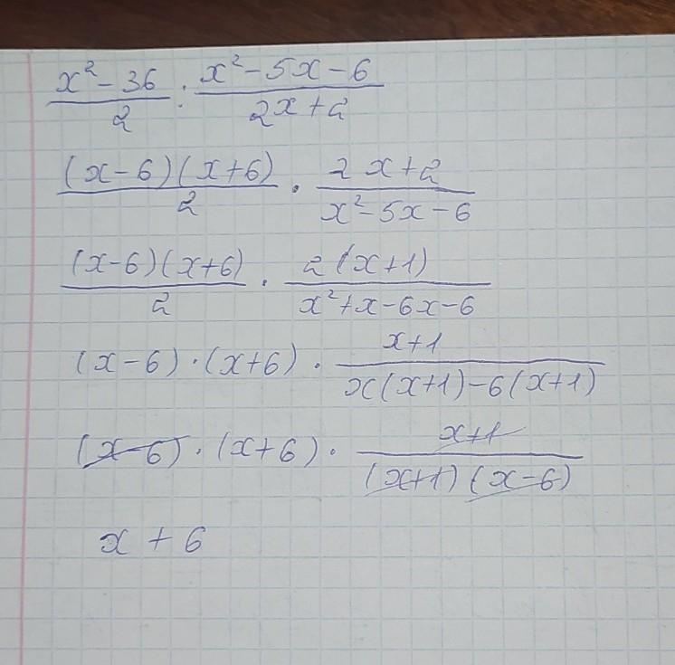
Тримай, надеюсь допомогла
Приложения:

Вас заинтересует
2 года назад
2 года назад
8 лет назад
8 лет назад