• Предмет: Математика
  • Автор: mabze
  • Вопрос задан 3 года назад

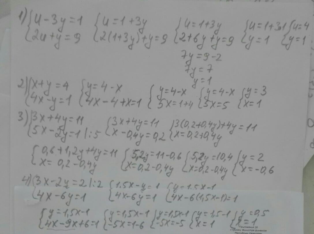
Решите плиз системы уравнений 'способом підстановки' до 18:00


Приложения:

Ответы

Ответ дал: s1051966
2

Ответ:

Решите плиз системы уравнений 'способом підстановки'

Приложения:

mabze: спасибо огромное
Вас заинтересует