• Предмет: Алгебра
  • Автор: dfdryftdt
  • Вопрос задан 3 года назад

Помогите пожалуйста!!!

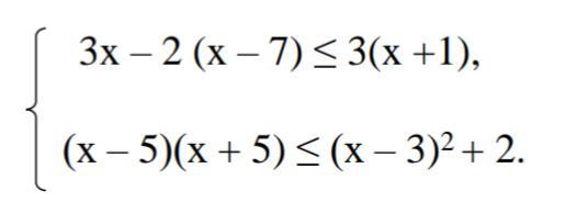
Решите систему неравенств:

Приложения:

Ответы

Ответ дал: anechka1946
1

Ответ:

все в фото)

Объяснение:

Приложения:

anechka1946: сделайте пожалуйста ответ лучшим))
anechka1946: Вам же не сложно)
anechka1946: нажмите на корону в правом нижнем углу под ответом))
dfdryftdt: Спасибо конечно! я бы с радостью отметила этот ответ лучшим, но никакой короны я пока не вижу.
anechka1946: блин, ладно, все равно спасибо
anechka1946: ))
Вас заинтересует