Ответы
Ответ дал:
1
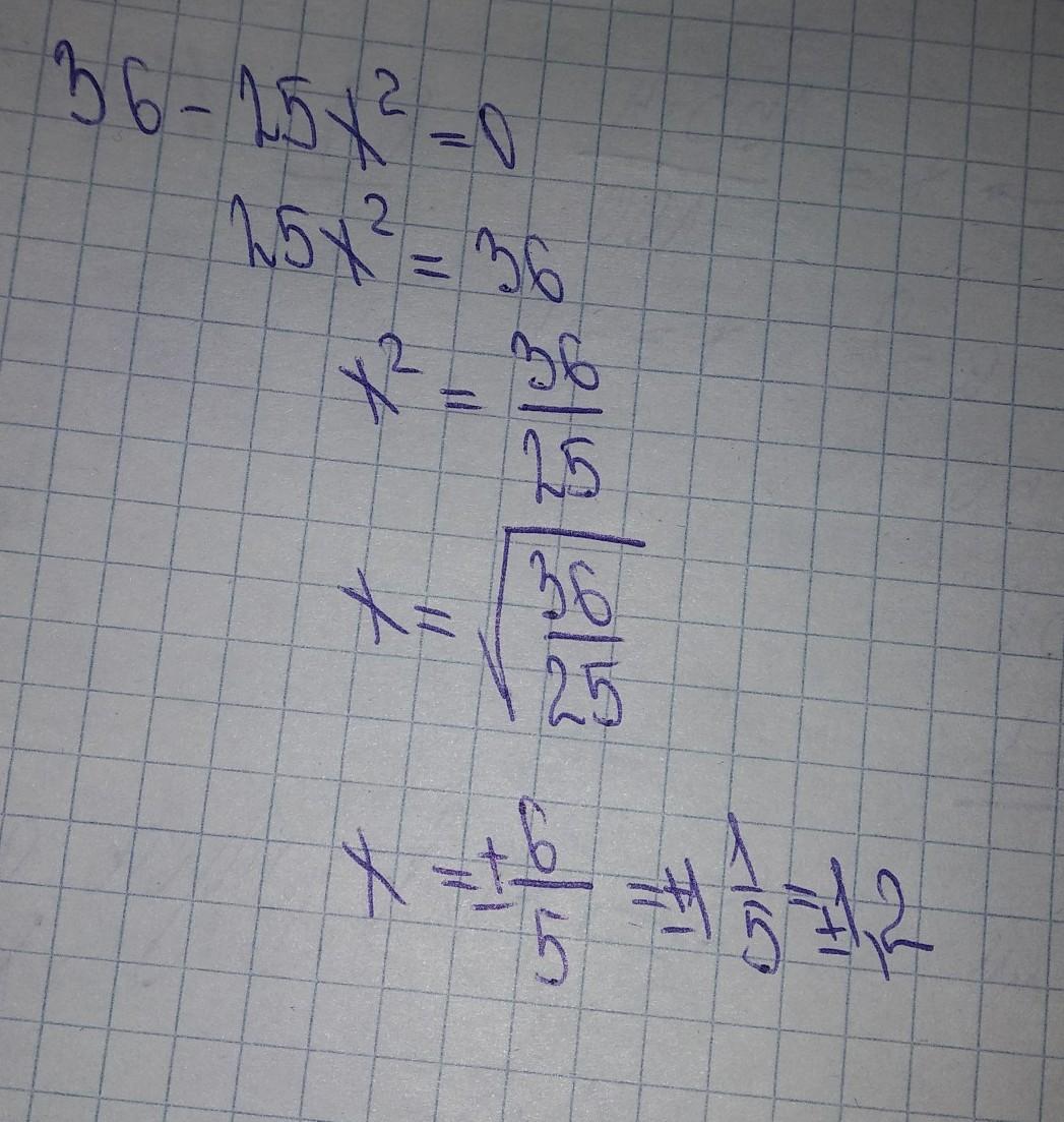
36-25х²=0
(6-5х)(6+5х)=0
6-5х=0 или 6+5х=0
5х=6 или 5х=-6
х1 = 1(1/5)
х2 = - 1(1/5)
Ответ дал:
1
Ответ:
1,2; -1,2
Объяснение:
на фото:::::::::::::::::
Приложения:

Coldflash:
красотка
Вас заинтересует
2 года назад
2 года назад
2 года назад
8 лет назад
8 лет назад