Ответы
Ответ дал:
2
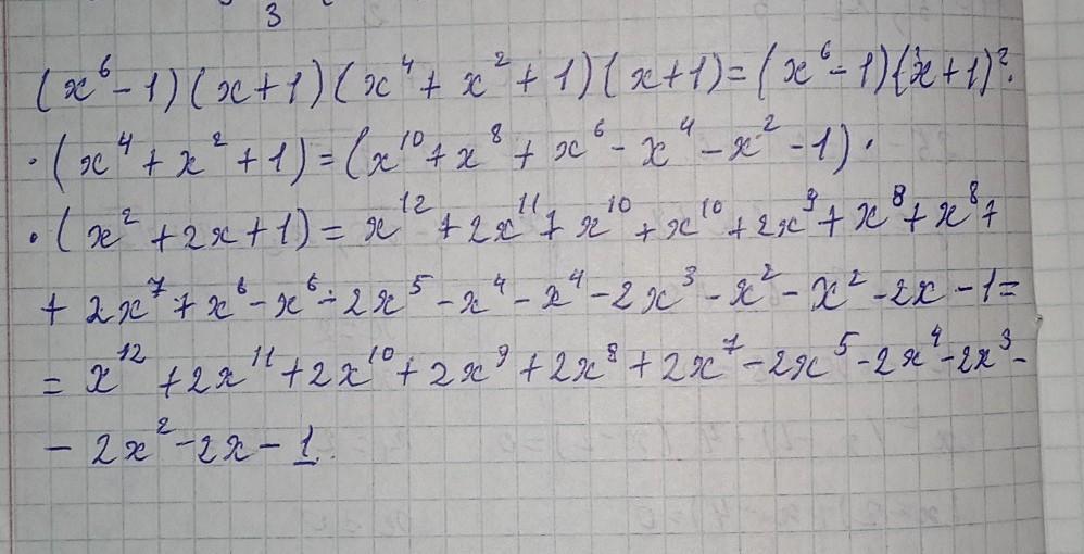
фото прикреплено
надеюсь помогла)))
Приложения:

Аноним:
спайсибо
Вас заинтересует
2 года назад
2 года назад
2 года назад
8 лет назад
8 лет назад
9 лет назад