Ответы
Ответ дал:
1
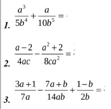
Ответ:на фото
Объяснение:
Приложения:

nnnastya1427:
спасибо большое
Вас заинтересует
2 года назад
2 года назад
2 года назад
8 лет назад
9 лет назад
9 лет назад