• Предмет: Алгебра
  • Автор: Melisska
  • Вопрос задан 10 лет назад

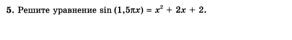
Помогите пожалуйста решить уравнение! Оооочень нужно

Приложения:

Ответы

Ответ дал: volkodav575
0
-1 leq  x^{2} +1x+2 leq 1 так как sin(x) leq |1|
 left { {{x^{2} +1x+1 leq0} atop {x^{2} +1x+3 geq0 }} right.
Первое неравенство верно только при х = -1, а второе при любых значениях х, следовательно решением нашего уравнения может быть только одно: х = -1.
Проверим его:
sin(-1,5 pi )=1
-sin( pi+ frac{ pi }{2}  )=1
sin( frac{ pi }{2} )=1
1 = 1
Мы получили верное равенство, значит наше решение х = -1
Вас заинтересует