Ответы
Ответ дал:
0
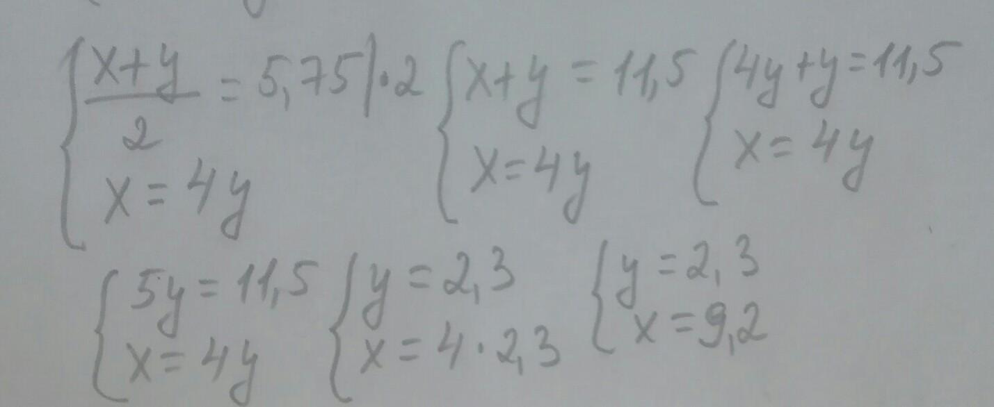
Середнє арифметичне двох чисел 5,75. Знайди ці числа, якщо одне з них у 4 рази більше за друге.
Приложения:

Вас заинтересует
2 года назад
2 года назад
2 года назад
2 года назад
8 лет назад
8 лет назад
9 лет назад