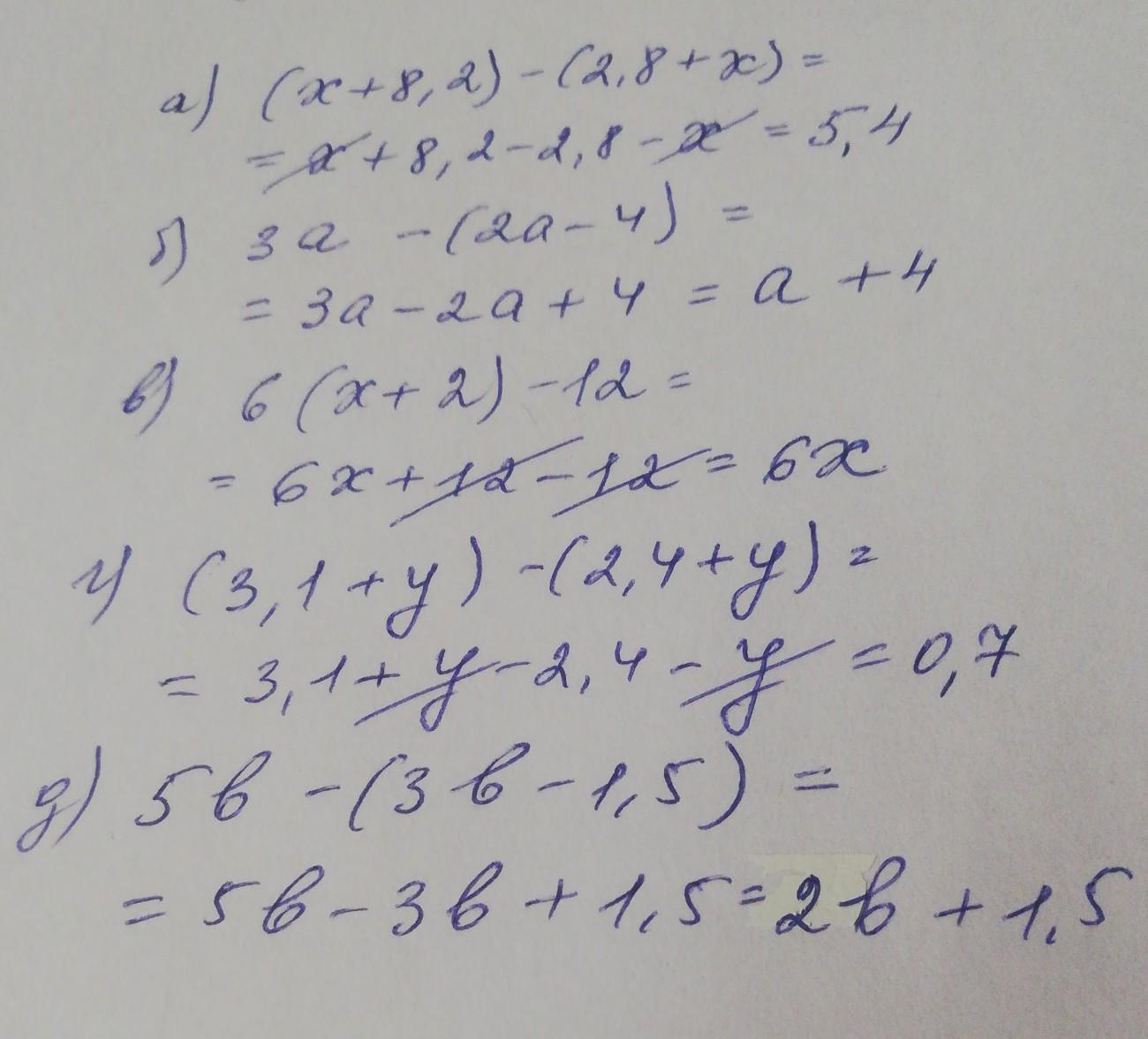
Раскройте скобки и упростите выражение.
а) (х + 8,2) – (2,8 + х)
б) 3а – (2а – 4)
в) 6(х +2) – 12
г) (3,1 + у) –(2,4 + у)
д) 5b – (3b – 1,5)
Ответы
Ответ дал:
0
а) 5,4 ответ................
Ответ дал:
1
Ответ:
Смотри решение на фото
Приложения:

Вас заинтересует
2 года назад
2 года назад
2 года назад
8 лет назад
9 лет назад