Ответы
Ответ дал:
0
Ответ:
Объяснение:
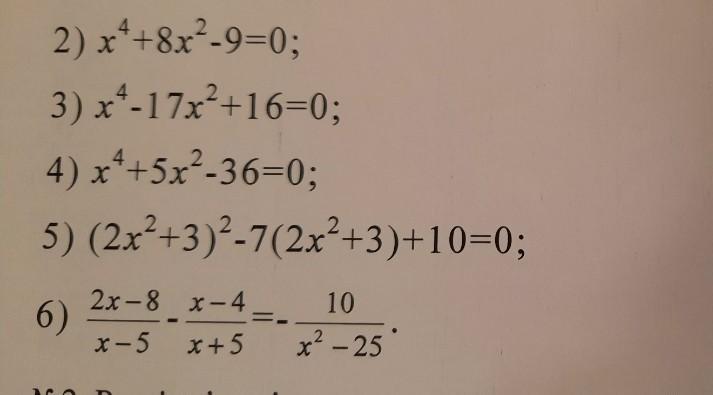
Чуть не умерла пока делала 6. Не математик чтоб извлекать корень из 321.
P.s. РРН - это на ураинском рівняння роз'язку немає/ или же уравнение развязки не имеет(как-то так).
Приложения:


pupil7d2:
пожалуйста посмотри у меня есть новое управление
Вас заинтересует
2 года назад
8 лет назад
9 лет назад