• Предмет: Алгебра
  • Автор: eeliyev894
  • Вопрос задан 3 года назад

Помогите пожалуйста!)​

Приложения:

Ответы

Ответ дал: Matematiktm
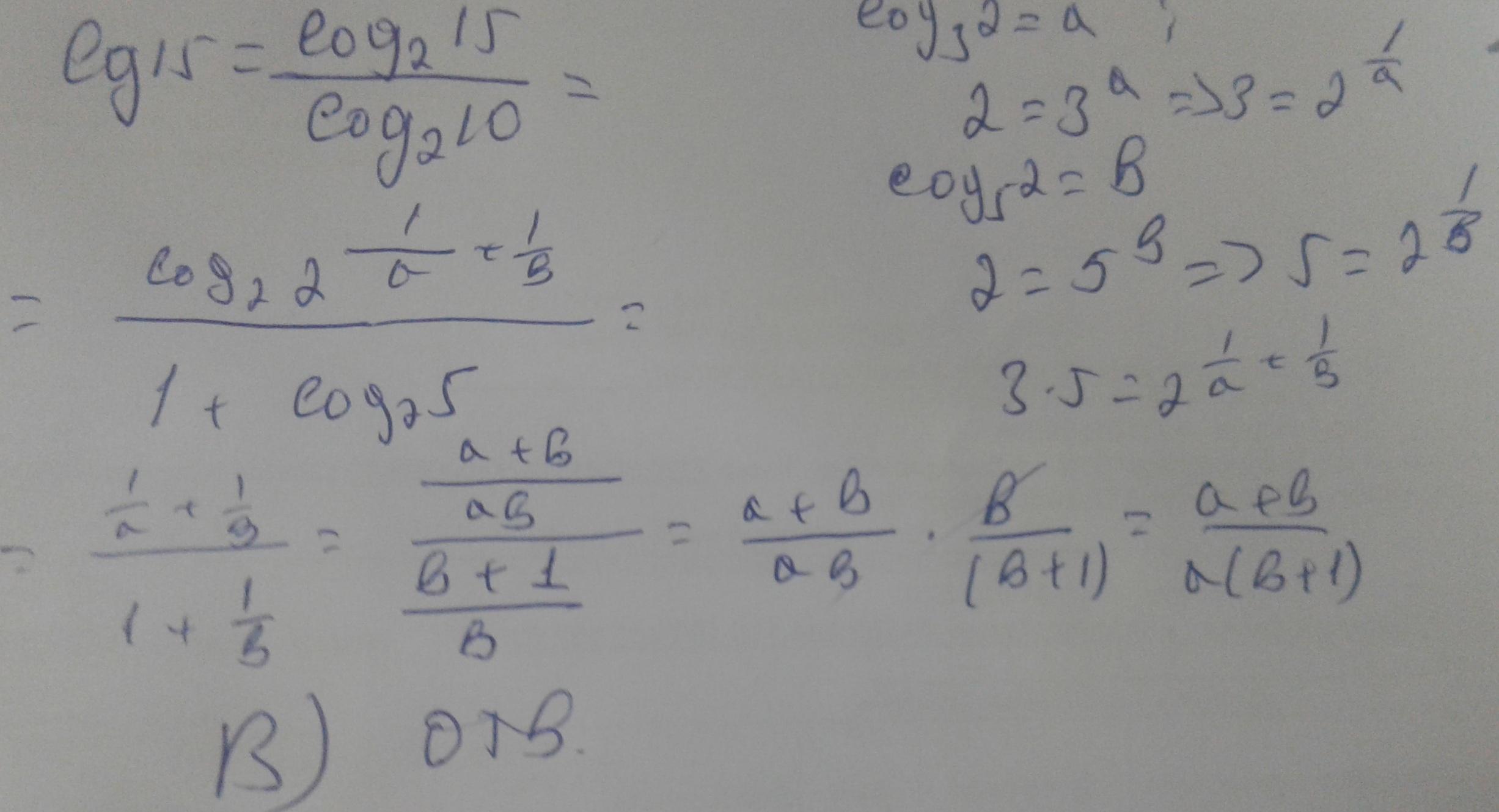
0

Ответ:

Объяснение:

ответ В)

Приложения:
Вас заинтересует