Ответы
Ответ дал:
1
Ответ:
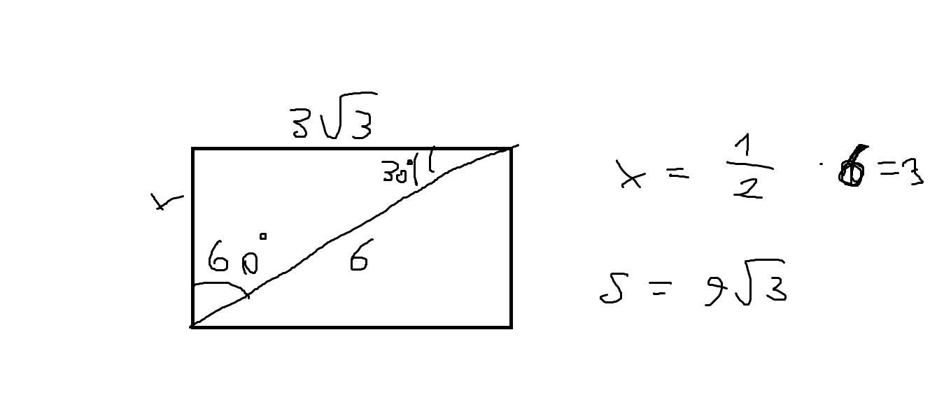
Меньшая сторона = 3
Площадь = 9 корней из 3
Приложения:

prokaanstasia111:
Господи спасибо
Вас заинтересует
2 года назад
2 года назад
2 года назад
8 лет назад
8 лет назад
9 лет назад