• Предмет: Математика
  • Автор: MolkyWay
  • Вопрос задан 3 года назад

Спасите!!! СРОЧНО!!!!

Приложения:

Ответы

Ответ дал: NNNLLL54
1

Ответ:

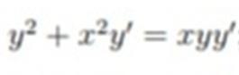
1)\ \ y^2+x^2y'=xyy'\ \ \ ,\ \ \ xyy'-x^2y'=y^2\ \ ,\ \ \ y'=\dfrac{y^2}{xy-x^2}\\\\u=\dfrac{y}{x}\ \ ,\ \ y=ux\ \ ,\ \ y'=u'x+u\\\\u'x+u=\dfrac{u^2x^2}{ux^2-x^2}\ \ ,\ \ \ u'x+u=\dfrac{u^2}{u-1}\ \ ,\ \ u'x=\dfrac{u^2}{u-1}-u\ \ ,\\\\\\u'x=\dfrac{u^2 -u^2+u}{u-1}\ \ ,\ \ \dfrac{du}{dx}\cdot x=\dfrac{u}{u-1}\ \ ,\\\\\\\int \dfrac{(u-1)\, du}{u}=\int \dfrac{dx}{x}\ \ ,\ \ \ \int \Big(1-\dfrac{1}{u}\Big)\, du=\int \dfrac{dx}{x}\ \ ,

u-ln|u|=ln|x|+lnC\ \ ,\ \ \dfrac{y}{x}-ln\Big|\, \dfrac{y}{x}\, \Big|=ln|Cx|

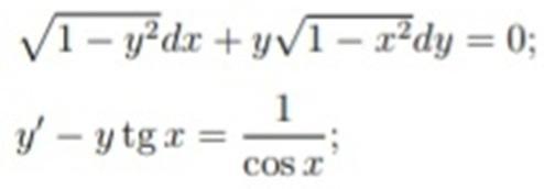
2)\ \ \sqrt{1-y^2}\, dx+y\sqrt{1-x^2}\, dy=0\\\\\int \dfrac{dx}{\sqrt{1-x^2}}=-\int \dfrac{y\, dy}{\sqrt{1-y^2}}\\\\\\arcsin\, x=2\sqrt{1-y^2}+C\ \ ,\ \ \ \sqrt{1-y^2}=\dfrac{1}{2}\cdot (arcsin\, x-C)\ \ ,\\\\\\1-y^2=\dfrac{1}{4}\, (arcsin\, x-C)^2\ \ ,\ \ y^2=1-\dfrac{1}{4}\, (arcsin\, x-C)^2\ ,\\\\\\y=\pm \sqrt{1-\dfrac{1}{4}\, (arcsin\, x-C)^2}

3)\ \ y'-y\, tgx=\dfrac{1}{cosx}\\\\y=uv\ ,\ \ u'=u'v =uv'\\\\u'v+uv'-uv\, tgx=\dfrac{1}{cosx}\ \ ,\ \ \ u'v+u\, (v'-v\, tgx)=\dfrac{1}{cosx}\\\\\\a)\ \ \dfrac{dv}{dx}-v\cdot  tgx=0\ \ ,\ \ \int \dfrac{dv}{v}=\int tgx\, dx\ \ ,\ \ ln|v|=-ln|cosx|\ \ ,\ \alpha \alpha v=\dfrac{1}{cosx}\\\\\\b)\ \ \dfrac{du}{dx}\cdot \dfrac{1}{cosx}=\dfrac{1}{cosx}\ \ ,\ \ \int du=\int dx\ \ ,\ \ \ u=x+C\\\\\\c)\ \ y=\dfrac{1}{cosx}\cdot (x+C)


MolkyWay: Спасибо вам)
Вас заинтересует