Ответы
Ответ дал:
0
Відповідь:
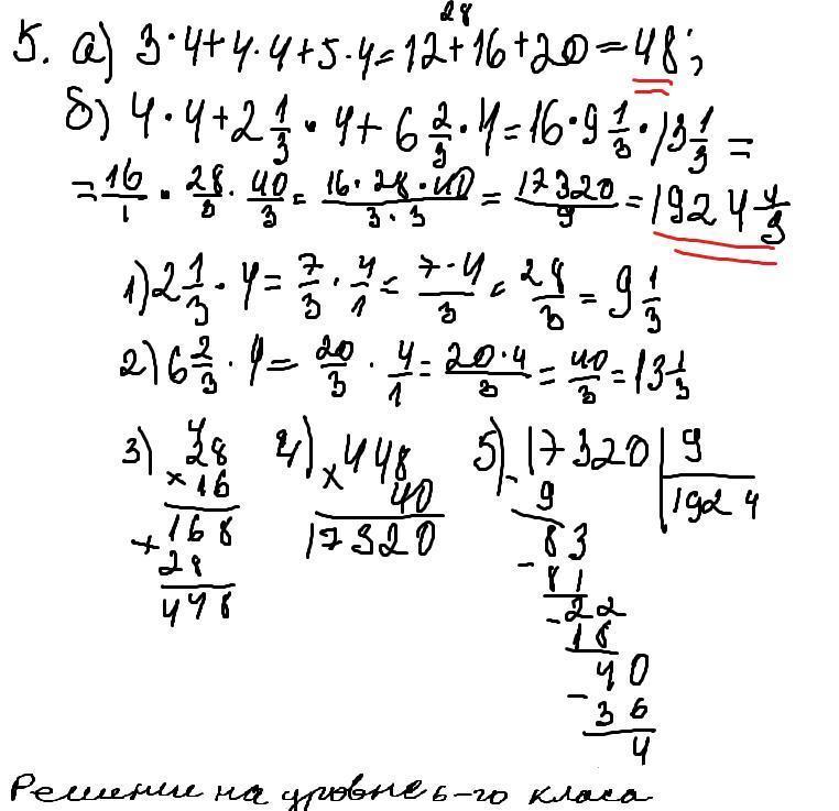
5. а) 48, б) ;
6. а) 48, б) 5,6.
Покрокове пояснення:
Формула задания №5: a*4+b*4+c*4
Формула задания №6: a*12 (в кубе 12 рёбер)
Приложения:



Вас заинтересует
2 года назад
2 года назад
2 года назад
8 лет назад
8 лет назад
9 лет назад
9 лет назад