• Предмет: Физика
  • Автор: vq6h8rpyx6757hk
  • Вопрос задан 3 года назад

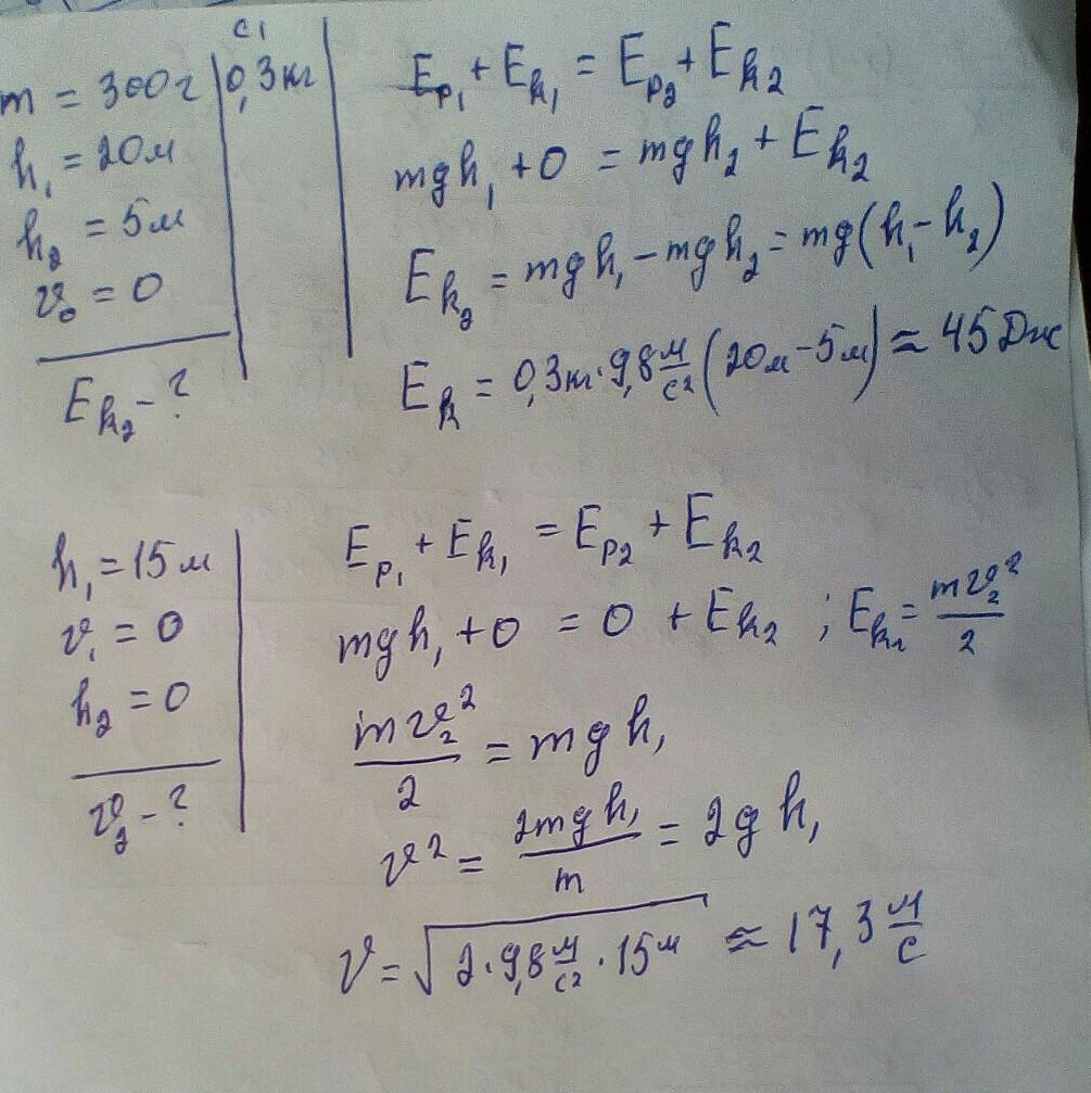
1)Маса тіла 300 грам, його впустили з висоти 20 метрів, знайти кінетичну енергію на висоті 5 метрів
2) Камінь упав з висоти 15 метрів, яка його швидкість, коли він вдарився об землю.
помогите решить задачи с физики, пожалуйста

Ответы

Ответ дал: ivankorobejnikov21
2

Ответ:

................................................

Приложения:
Вас заинтересует