• Предмет: Математика
  • Автор: Hopsam89
  • Вопрос задан 3 года назад

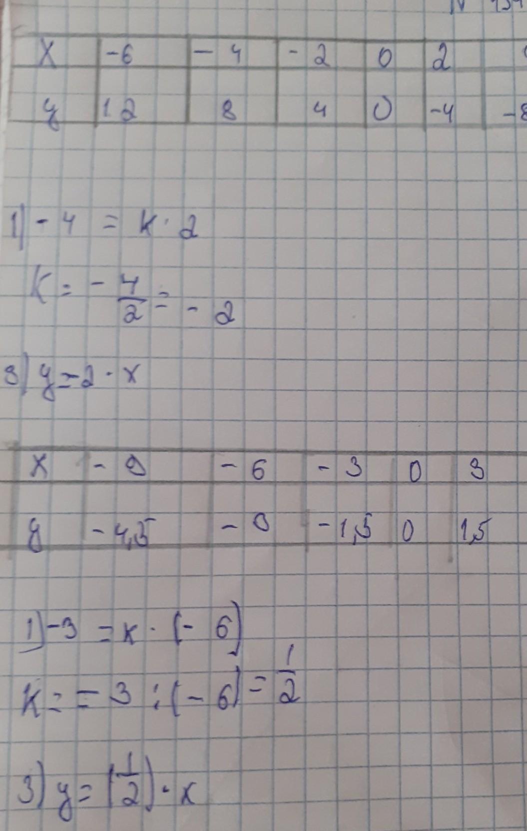
Прямая пропорциональность задана таблицами:1)Вычислите коэффициент пропорциональности.
2)Заполните таблицы.
3)Запишите формулы прямой пропорциональности

Ответы

Ответ дал: isaevmedhat11
16

Пошаговое объяснение:

ща другую сторону выложу

1000000000%верно

Приложения:

sarsenovbotik2009: оаоалалюово
dorofeevivan92: а как ты понял что верно
amiralimhanov4: а что там написано коэфициент пропорциональности и формулы
makasovaelena9: чрчнчгсгяшргчгсн
valentinakrupskaa295: ну и почерк у теб
anelsmagulova66: Спасибо❣️❣️
anelsmagulova66: Нашла ошибку в 2примере (таблице) не -6=0 а -6=-3
anelsmagulova66: Можно формулы 2я не вижу
isaevmedhat11: там 6=3 не ошибка просто на быструю руку написал
isaevmedhat11: у=1/2×х
Вас заинтересует