Ответы
                                            Ответ дал: 
                                                                                    
                                        
                                            
                                                
                                                
                                                
                                                    0
                                                
                                            
                                        
                                    Ответ:
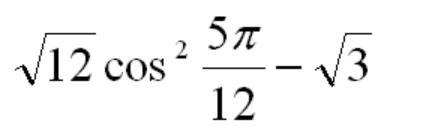
-1.5
Объяснение:
                    Darvin2004:
                    откуда первая строчка взялась? это как?
                
            
                    
                    Формула понижения степени:
cos^2(a/2)=(1+cos(a))/2
            cos^2(a/2)=(1+cos(a))/2
                    
                    Из этой же серии:
sin^2(a/2)=(1-cos(a))/2
tg^2(a/2)=(1-cos(a))/(1+cos(a))
ctg^2(a/2)=(1+cos(a))/(1-cos(a))
            sin^2(a/2)=(1-cos(a))/2
tg^2(a/2)=(1-cos(a))/(1+cos(a))
ctg^2(a/2)=(1+cos(a))/(1-cos(a))
Вас заинтересует
                
                        2 года назад
                    
                
                        2 года назад
                    
                
                        2 года назад
                    
                
                        2 года назад
                    
                
                        8 лет назад
                    
                
                        8 лет назад