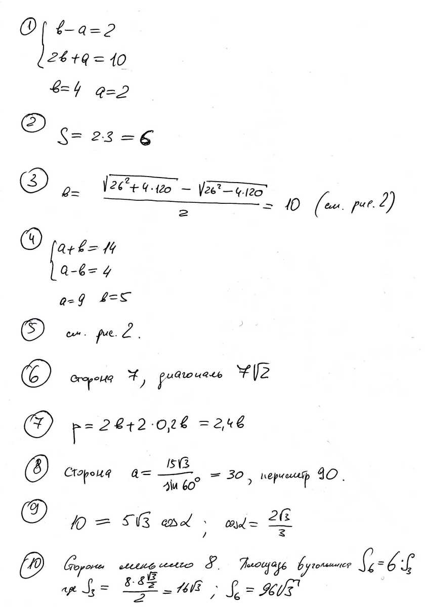
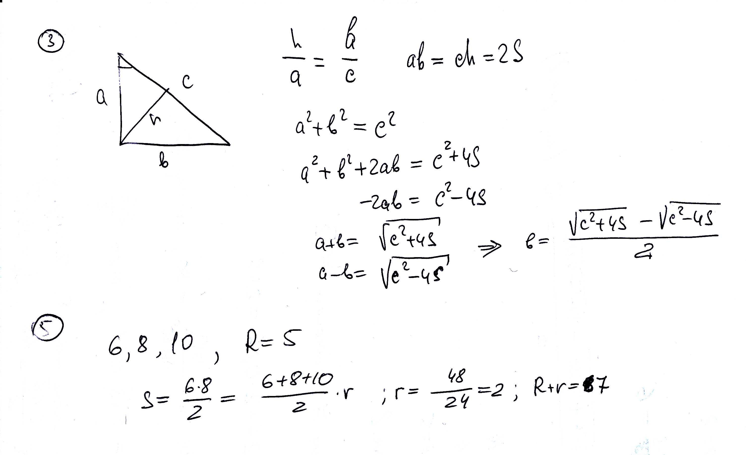
1) боковая сторона равнобедренного треугольника на 2 см больше основания, а его периметр равен 10см. найдите стороны треугольника 2) стороны прямоугольника 2 и 3, тогда чему равна его площадь 3) гипотенуза прямоугольного треугольника равна 26см, а площадь 120 см. кв. найдите наименьший катет 4) средняя линия трапеции равна 7 см. одно из её оснований больше другого на 4 см. найдите основания трапеции 5) катеты прямоугольного треугольника равны 6 и 8. чему равна сумма радиусов вписанной и описанной окружностей 6) площадь квадрата 49 см.кв. чему равна диагональ квадрата 7)длина прямоугольника равна b дм, а ширина составляет 0,2 его длины. найдите периметр прямоугольника. составьте выражение по условию задачи 8)в равностороннем треугольнике медиана равна 15 корень квадратный из 3см. найдите периметр треугольника 9) определите угол наклона отрезка плоскости, если длина наклонной 10см, а длина её проекции 5корень квадратный из 3 10) стороны двух, правильных шестиугольников отличаются в 3 раза. определите площадь меньшего из них если стороны большего равны 24см
Ответы
Все решения на сканах, все решения на сканах


1) x+2(x+2) =10
2)2*3
3)ab/2 =120
a^2+b^2 = 26^2
4)7=(x+x+4)/2
5)R = 1/2*корень(6^2+8^2)
r = 6*8/(6+8+корень(6^2+8^2))
6)корень(49*2)
7)P = 2*(0.2b+b)
8)не помню формулы
9)arccos(5*корень(3)/10)
10)a = 24/3
S = 6/2*a*a*sin(60)

