• Предмет: Математика
  • Автор: doloninilya
  • Вопрос задан 3 года назад

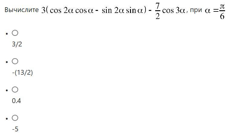
Какой из ответов правильный?

Приложения:

Ответы

Ответ дал: danek52413
0

Ответ:

Ну знаешь, тут надо действовать на рандом.

Пошаговое объяснение:

Заходим на сайт random org и ставим значение от 1 до 4.

Вывод с сайта 3. Ответ 3 то есть  0.4

Приложения:
Ответ дал: belcatya
0

Ответ:

Пошаговое объяснение:

по формуле суммы косинусов получаем

3cos3a-3.5cos3a=-0.5cos3a=-0.5cos3*π/6=-0.5cosπ/2=0

вообще ответ получился 0, так что здесь нет правильных

Вас заинтересует