Ответы
Ответ дал:
2
Відповідь:
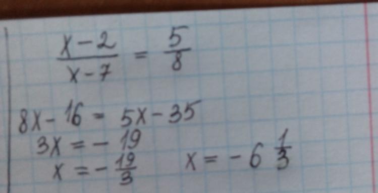
x-2 5
--- = -
x-7 8
8x-16=5x-35
3x=-19
19
x= - --
3
Приложения:

Ответ дал:
0
Я не поняла как расположено деление,поэтому решила так:
(х)/(х-2)/(7)=5/8; х≠2
(х)/((х-2)×7)=5/8
8x=35(x-2)
8x=35x-70
8x-35x=-70
-27x=-70
x=70/27;x≠2
x=2целых и 16/27 или x=2,592
Вас заинтересует
2 года назад
2 года назад
2 года назад
2 года назад
8 лет назад
9 лет назад
9 лет назад