• Предмет: Алгебра
  • Автор: ka1ttee
  • Вопрос задан 3 года назад

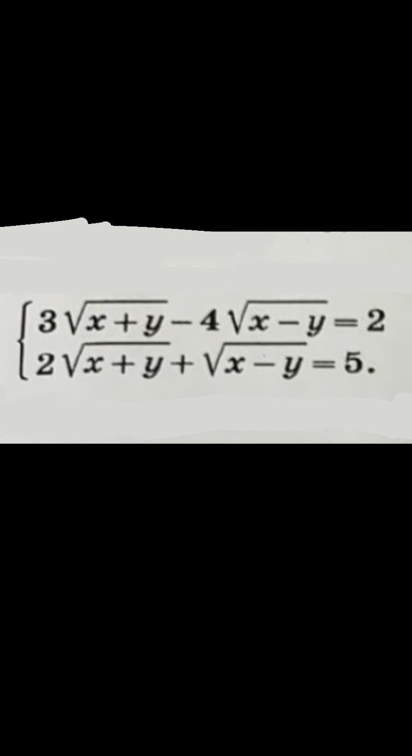
ПОМОГИТЕ ПЖ АЛГЕБРА .........


...

Приложения:

Ответы

Ответ дал: xacku2020
1

Ответ:

(2,5 ; 1.5)

Объяснение:

ОДЗ х>y

пусть √(х+у)=а и √(х-у)=в

\left \{ {{3a-4b=2} \atop {2a+b=5}} \right. ;\left \{ {{3a-4b=2} \atop {8a+4b=20;}} \right. 11a=22,  a=2 , 2*2+b=5 , b=1  .

{√(х+у)=2 , {х+у=4

{√(х-у)=1  , {х-у=1  . складываем 2х=5 . х=2.5 → 2.5-у=1 , у=1,5 . подходят 2,5>1,5

Вас заинтересует