• Предмет: Алгебра
  • Автор: marsfaka
  • Вопрос задан 3 года назад

срочноооооооо.................​

Приложения:

Ответы

Ответ дал: NNNLLL54
2

Ответ:

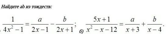
1)\ \ \dfrac{1}{4x^2-1}=\dfrac{a}{2x-1}-\dfrac{b}{2x+1}\\\\\\\dfrac{1}{4x^2-1}=\dfrac{a(2x+1)-b(2x-1)}{(2x-1)(2x+1)}\\\\\dfrac{1}{4x^2-1}=\dfrac{2ax+a-2bx+b}{4x^2-1}\\\\\dfrac{1}{4x^2-1}=\dfrac{(2a-2b)\cdot x+(a+b)}{4x^2-1}\ \ \ \Rightarrow \ \ \ 1=(2a-2b)\cdot x+(a+b)\\\\0\cdot x+1\cdot x^0=(2a-2b)\cdot x+(a+b)\cdot x^0\\\\\left\{\begin{array}{l}0=2a-2b\\1=a+b\end{array}\right\ \ \left\{\begin{array}{l}a=b\\1=2a\end{array}\right\ \ \left\{\begin{array}{l}b=0,5\\a=0,5\end{array}\right\\\\Otvet:\ \ a=b=0,5

2)\ \ \dfrac{5x+1}{x^2-x-12}=\dfrac{a}{x+3}+\dfrac{b}{x-4}\\\\\dfrac{5x+1}{(x+3)(x-4)}=\dfrac{a(x-4)+b(x+3)}{(x+3)(x-4)}\\\\\dfrac{5x+1}{(x+3)(x-4)}=\dfrac{(a+b)\cdot x+(3b-4a)}{(x+3)(x-4)}\\\\5x+1=(a+b)\cdot x+(3b-4a)\\\\\left\{\begin{array}{l}5=a+b\\1=3b-4a\end{array}\right\ \ \left\{\begin{array}{l}a=5-b\\1=3b-4(5-b)\end{array}\right\ \ \left\{\begin{array}{l}a=5-b\\1=3b-20+4b\end{array}\right\ \ \left\{\begin{array}{l}a=5-b\\7b=21\end{array}\right

\left\{\begin{array}{l}a=2\\b=3\end{array}\right\ \ \ \ Otvet:\ \ a=2\ ,\ b=3\ .

 P.S.  Два многочлена равны, если равны их коэффициенты при одинаковых степенях .


NNNLLL54: так это редактор формул....он отобразит нормальный текст, если перезагрузите страничку НЕ с телефона ...
marsfaka: спасибо только компа нет но ладно
NNNLLL54: могу сделать скрин, если создадите вопрос за 5 баллов, сюда уже не получиться вставить, т.к. время много прошло
marsfaka: ок счс
marsfaka: все
NNNLLL54: там вставьте фото условия
marsfaka: тогда мне придутся новый вопрос создать секунду
marsfaka: все
NNNLLL54: новый вопрос не надо создавать, просто нажать "изменить" и вставить там фото...
Аноним: Мда вы уже глав мозга скоро выведете из себя, глупые вопросы однако для 9 класса
Вас заинтересует