• Предмет: Алгебра
  • Автор: stasjukjulija27
  • Вопрос задан 3 года назад

кто хорошо знает алгебру, помогите пожалуйста​

Приложения:

SheilaJun: все номера?

Ответы

Ответ дал: максир
1

Ответ:

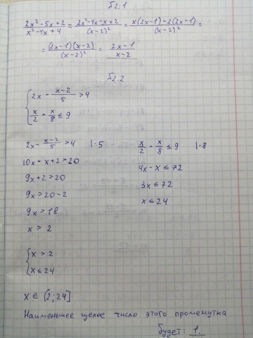
№2.1  \frac{2x-1}{x-2}

№2.2  1

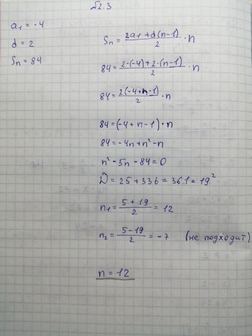
№2.3  n=12

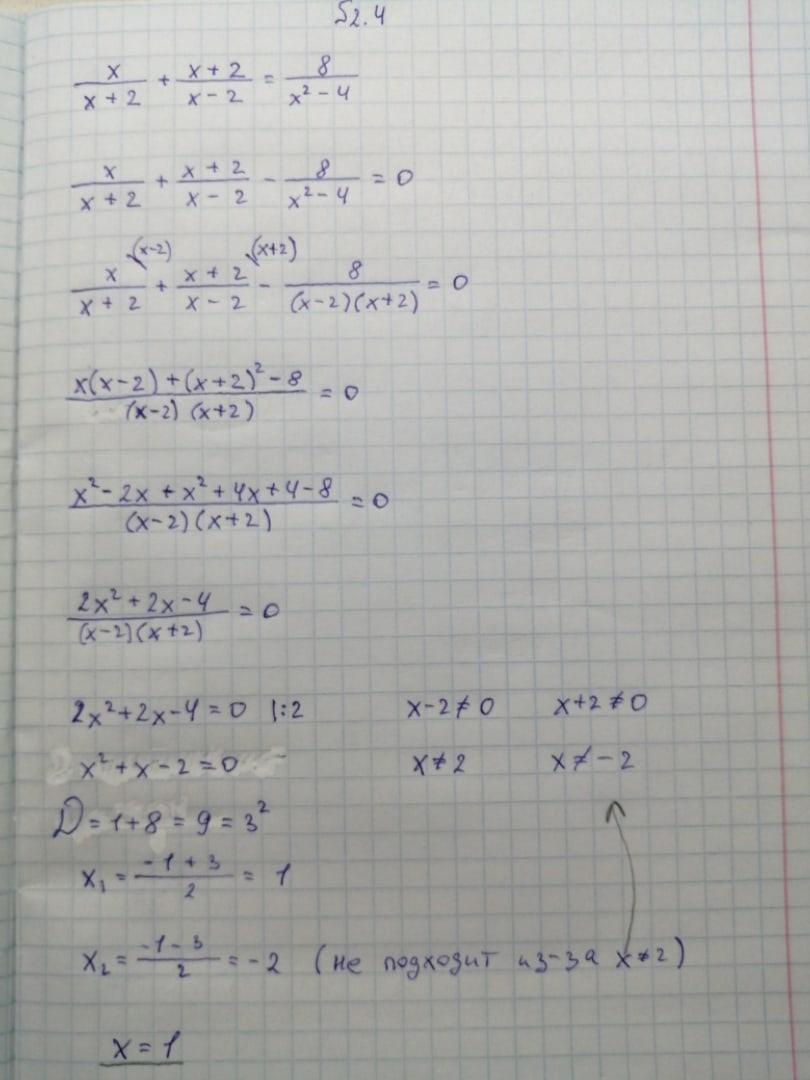
№2.4  x=1

Объяснение:

Приложения:

stasjukjulija27: БОЖЕ, СПАСИБО ТЕБЕ ОГРОМНОЕ♥️
Вас заинтересует