• Предмет: Алгебра
  • Автор: lolika14789
  • Вопрос задан 3 года назад

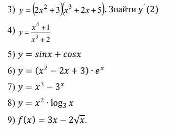
Знайти похідні заданих функцій:

Приложения:

Ответы

Ответ дал: Miroslava227
1

Ответ:

3.

y' = (2 {x}^{2}  + 3)'(  {x}^{3}  + 2x + 5) + ( {x}^{3}  + 2x + 5)'(2 {x}^{2}  + 3) =  \\  = 4x( {x}^{3}  + 2x + 5) + (3 {x}^{2}  + 2)(2 {x}^{2}  + 3) =  \\  = 4 {x}^{4}  + 8 {x}^{2}  + 20x  + 6 {x}^{4}  + 9 {x}^{2}  + 4 {x}^{2}  + 6 =  \\  = 10 {x}^{4}  + 21 {x}^{2}  + 20x + 6

y(2) = 10 \times 16 + 21 \times 4 + 20 \times 2 + 6 =  \\  = 160 + 84 + 46 = 290

4.

y' =  \frac{( {x}^{4}  + 1)'({x}^{3}  + 2) - ( {x}^{3} + 2)'( {x}^{4} + 1)  }{ {( {x}^{3}  + 2)}^{2} }  =  \\  =  \frac{4 {x}^{3} ( {x}^{3} + 2) - 3 {x}^{2} ( {x}^{4}   + 1)}{ {( {x}^{3}  + 2)}^{2} }  =  \\  =  \frac{4 {x}^{6}  + 8 {x}^{3} - 3 {x}^{6}  - 3 {x}^{2}  }{ {( {x}^{3}  + 2)}^{2} }  =  \frac{ {x}^{6} + 8 {x}^{3}  - 3 {x}^{2}  }{ {( {x}^{3}  + 2)}^{2} }

5.

y '=  \cos(x)  -  \sin(x)

6.

y' = ( {x}^{2}  - 2x + 3)'e {}^{x} + ( e {}^{x})' ( {x}^{2}  - 2x + 3) =  \\  = (2x - 2) {e}^{x}  + e {}^{x} ( {x}^{2}  - 2 x+ 3) =  \\  =  {e}^{x} ( {x}^{2}  + 1)

7.

y' = 3 {x}^{2}  -  ln(3)  \times  {3}^{x}

8.

y '= 2x log_{3}(x)  +  \frac{ {x}^{2} }{ ln( 3) \times x }  =  \\  = 2x log_{ 3}(x)  +  \frac{x}{ ln(3) }

9.

f'(x) = 3 - 2 \times  \frac{1}{2}  {x}^{ -  \frac{1}{2} }  = 3 -  \frac{1}{ \sqrt{x} }  \\

Вас заинтересует