• Предмет: Алгебра
  • Автор: alyona2043
  • Вопрос задан 3 года назад

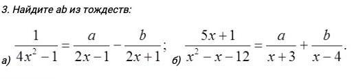
Найдите AB из тождеств​

Приложения:

Ответы

Ответ дал: NNNLLL54
1

Ответ:

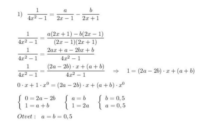
Пользуемся тем, что у дробей с равными знаменателями равны и числители . Многочлены в числителях равны, если равны коэффи-циенты при одинаковых степенях .

Приложения:

alyona2043: спасибо большое ❤️
Вас заинтересует