• Предмет: Математика
  • Автор: jojknhhyvtvh
  • Вопрос задан 3 года назад

решите пожалуйста рівняння ❤️​

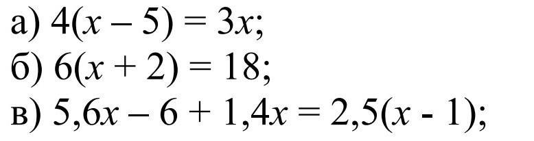
Приложения:

Ответы

Ответ дал: ChOnAdaTube
2

Ответ:

а)4x-20=3x

4x-3x=20

×=20

б)6x+12=18

6x=-12+18

6x=6

x=1

в)5.6x-6+1,4x=2,5x-2,5

5,6x+1,4x-2,5x=6-2,5

7x-2,5x=3,5

4,5x=3,5

x=3,5:4,5

x=~0,8

Ответ дал: javohirjoraqulov717
0

Ответ:

а)4(x-5)=3x

4x-20=3x

4x-3x=20

x=20

б)6(x+2)=18

6x+12=18

6x=6

x=1

в)5,6x-6+1,4x= 2,5(x-1)

7x-6=2,5x-2,5

7x-2,5x=6-2,5

4,5x=3,5

x=3,5÷4,5

x=7/9

Вас заинтересует