Определи площадь треугольника KPT, если KT = 8 см, ∡K=30°, ∡P=75°.
SKPT= {ответ] см2(все приблизительные числа в расчётах округли до десятитысячных, ответ округли до сотых).
Ответы
Ответ дал:
0
Ответ:
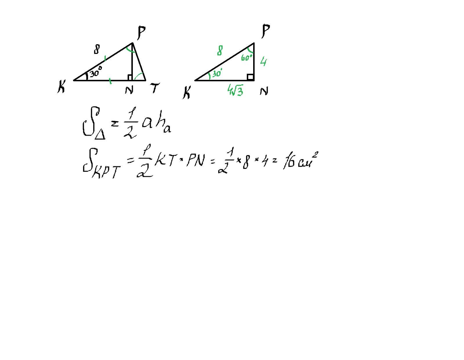
S(ΔKPT) = 16см²
Объяснение:
Опустим высоту РN на сторону КТ. Как известно площадь треугольника вычисляется по формуле S=1/2*ahₐ, где hₐ- высота, опущенная на сторону а.
Образовался прямоугольный треугольник KPN с острым углом К=30⁰. Из этого следует, что:
РN=4, KN=4√3 (Частные случаи прямоугольных треугольников).
Теперь, зная, что высота PN=4, находим площадь:
S= 1/2*8*4 = 16cm²
Приложения:

Вас заинтересует
2 года назад
2 года назад
2 года назад
8 лет назад
9 лет назад
9 лет назад