ПОМОГИТЕ, ПОЖАЛУЙСТА! ОЧЕНЬ НУЖНО!
Решите хим. цепочку :
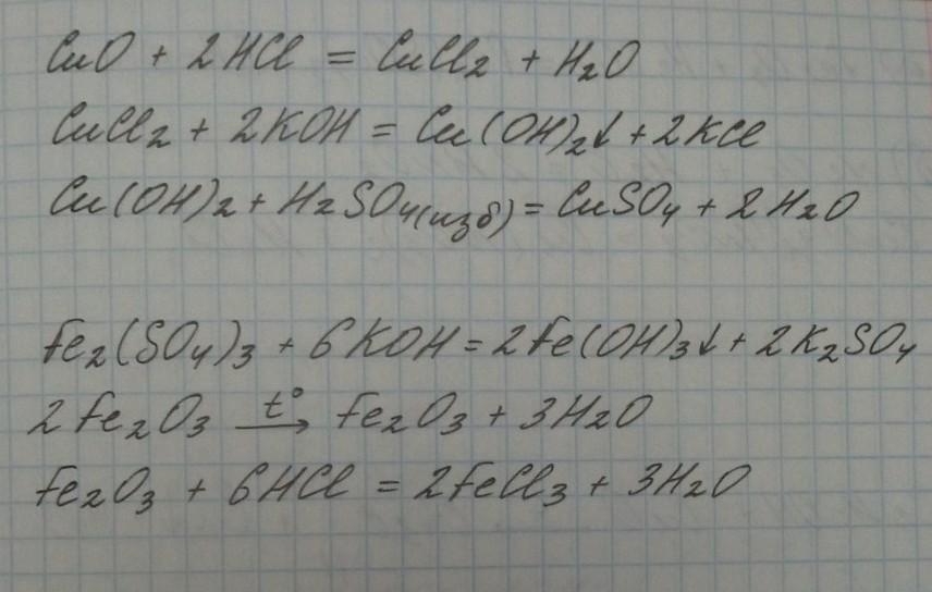
б) оксид меди 2 — хлорид меди 2 — гидроксид меди 2 — сульфат меди 2 .
г) сульфат железа 3 — гидроксид железа 3 — оксид железа 3— хлорид железа 3 .
помогите, пожалуйста....
Ответы
Ответ дал:
1
лови
.....................
Приложения:

pqjpfhxhccjhxtyxyx:
Спасибо!!!!!!
Вас заинтересует
2 года назад
2 года назад
2 года назад
2 года назад
8 лет назад