• Предмет: Алгебра
  • Автор: Аноним
  • Вопрос задан 3 года назад

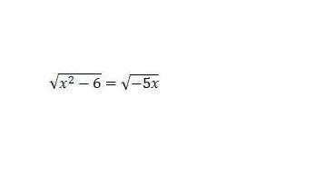
помогите с номером на картинке, пожалуйста <3

Приложения:

Ответы

Ответ дал: Ayanakoji
0

Ответ:

 \sqrt{ {x}^{2} - 6 }  =  \sqrt{ - 5x}  \\  {x}^{2}  - 6 =  - 5x \\  {x}^{2}  + 5x - 6 = 0 \\  {x}^{2}  + 6x - x - 6 = 0 \\ x(x + 6) - (x + 6) = 0 \\ (x - 1)(x + 6) = 0 \\ x = 1 \:  \:  \:  \:  \:  \:  \:  \:  \: x =  - 6

Вас заинтересует