• Предмет: Математика
  • Автор: ameliyasattarova09
  • Вопрос задан 3 года назад

ПОМОГИТЕ СРОЧНО (математика 5 класс Виленкин)​

Приложения:

Ответы

Ответ дал: nigishka2810
1

Ответ:

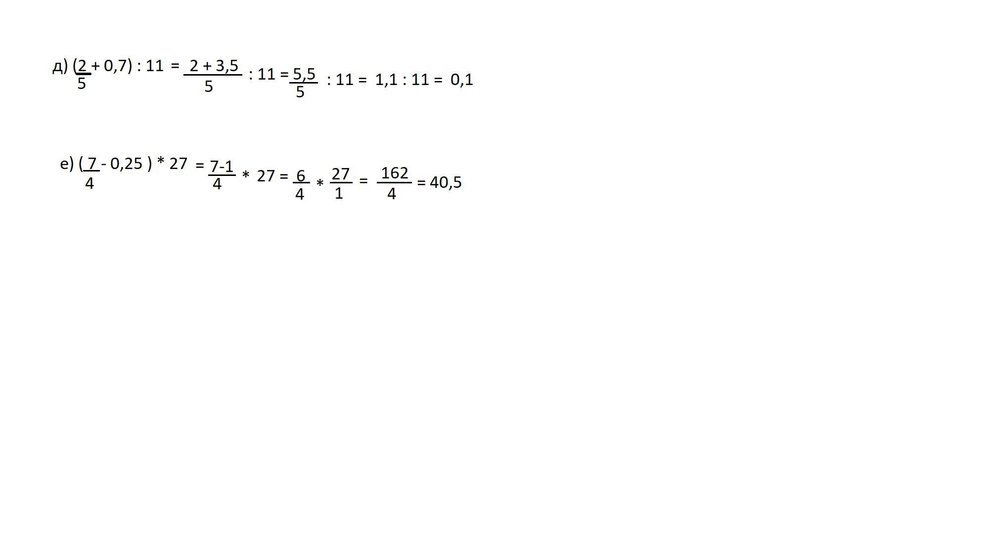
д) (2/5+0,7):11=1,1÷11=0,1

е) (7/4-0,25)×27=1,5×27=40,5

Ответ дал: sofiabro2007p02xpo
0

Відповідь:

Покрокове пояснення:

Приложения:
Вас заинтересует