• Предмет: Математика
  • Автор: mariseliv2002
  • Вопрос задан 3 года назад

Помогите пожалуйста с решением!

Приложения:

Ответы

Ответ дал: 4688f71163
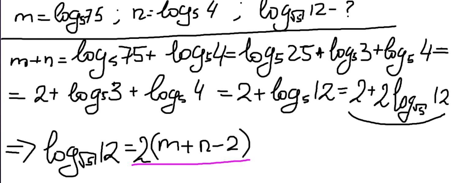
1

Ответ:

2 * (m + n - 2)

Пошаговое объяснение:

Решение приведено на скриншоте

Приложения:
Вас заинтересует