• Предмет: Алгебра
  • Автор: Аноним
  • Вопрос задан 3 года назад

Упростите тригонометрическое выражение (8;9;10)
(тема: Тождественные преобразования тригонометрических выражений)

Приложения:

Ответы

Ответ дал: Miroslava227
3

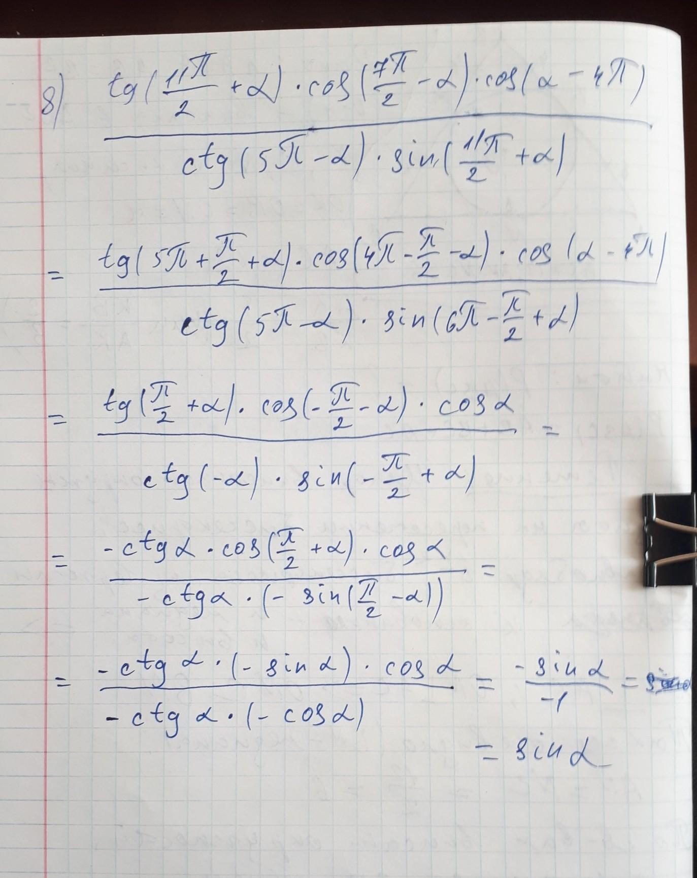
8

 \frac{tg( \frac{11\pi}{2} +  \alpha ) \cos( \frac{7\pi}{2}  - \alpha  )  \cos( \alpha - 4 \pi)  }{ctg(5\pi -  \alpha ) \sin( \frac{11\pi}{2} +   \alpha ) }  =  \\  =  \frac{( - ctg \alpha) \times  ( - \sin( \alpha) )   \times  \cos( \alpha ) }{( - ctg \alpha) \times  ( - \cos( \alpha ))  }  =  \\  =  \sin( \alpha )

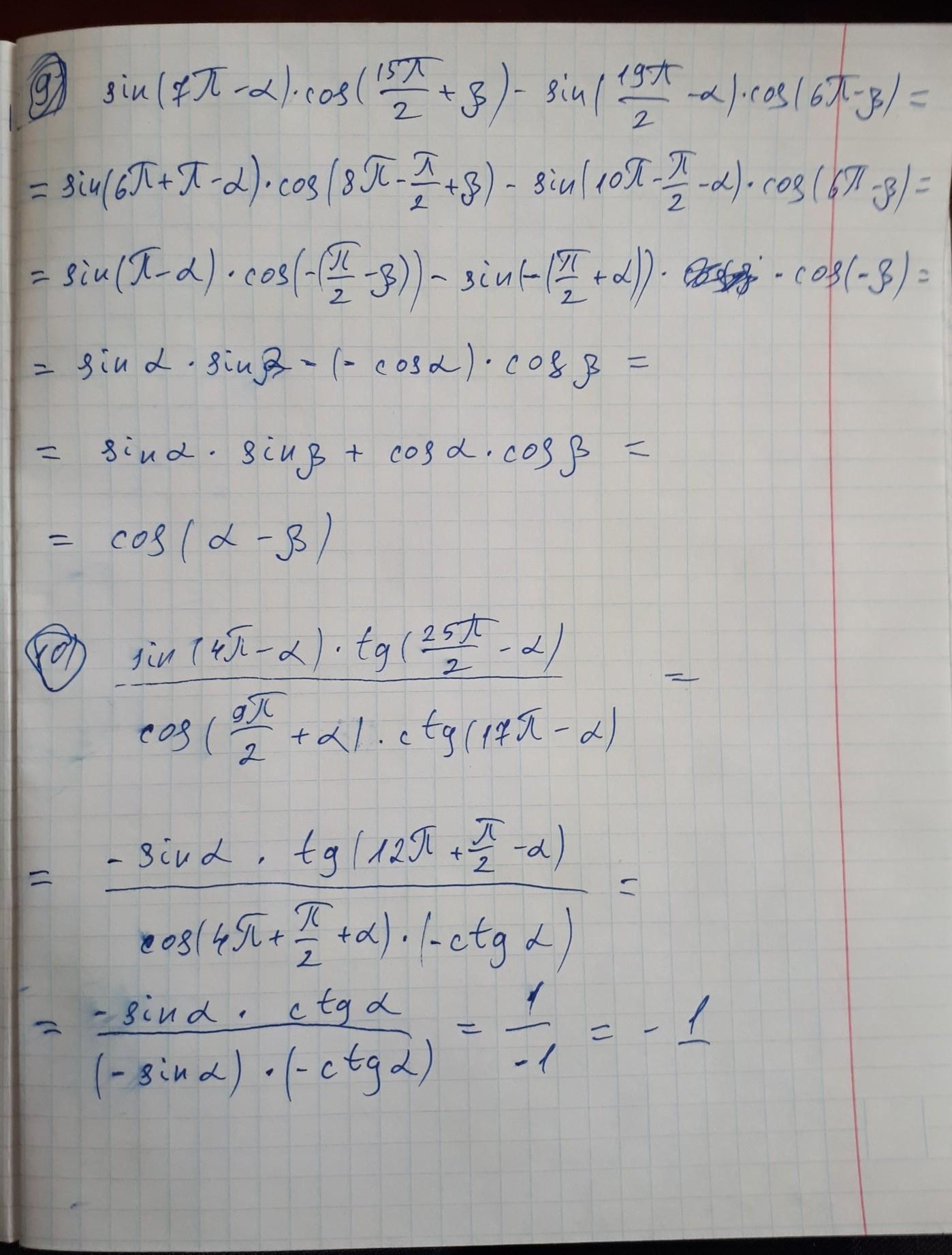
9

 \sin(7\pi -  \alpha )  \cos( \frac{15\pi}{2} +   \beta   )  -  \sin( \frac{19\pi}{2} -  \alpha  )  \cos(6\pi  -  \beta  )  =  \\  =   \sin( \alpha )   \times  \sin(  \beta  )  -   \cos( \alpha )  \cos( \alpha )  =  \\  =  - ( \cos( \alpha )  \cos( \beta )  -  \sin( \alpha )  \sin( \beta ) ) =  \\  =  -  \cos( \alpha  +  \beta )

10

 \frac{ \sin(4\pi  - \alpha ) tg( \frac{25\pi}{2}  -  \alpha )}{  \cos( \frac{9\pi}{2}  +  \alpha ) ctg(17\pi -  \alpha ) }  =  \frac{ -  \sin( \alpha ) \times ctg \alpha  }{( -  \sin( \alpha )) \times ( - ctg \alpha)  }   =  - 1 \\

Ответ дал: Vopoxov
0

Ответ:

8) \: ... =  \sin \alpha \:  \:  \:  \:  \:  \:  \:  \:  \:  \:  \:

 9) \: ... =  \cos( \alpha  -  \beta )  \\

10) \:  \: ... =  - 1

Объяснение:

См. в приложении

Приложения:
Вас заинтересует