Пожалуйста помогите
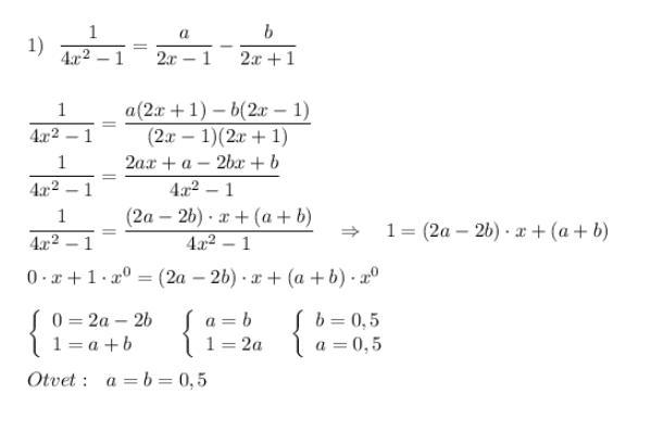
3. Найдите аb тождеств 1/4х²-1=а/2х-1 - b/2х+1
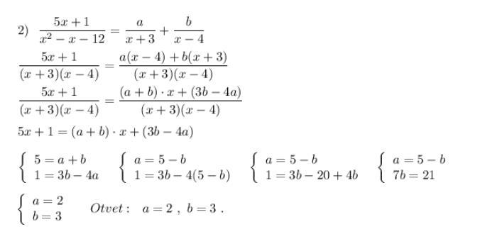
5x+1/x²-x-12=a/x+3 + b/x-4
amir36mm53:
так и сделаю
Ответы
Ответ дал:
1
Пользуемся тем, что у дробей с равными знаменателями равны и числители . Многочлены в числителях равны, если равны коэффи-циенты при одинаковых степенях .
Приложения:


Вас заинтересует
2 года назад
2 года назад
2 года назад
2 года назад