• Предмет: Алгебра
  • Автор: QwertyLokom2
  • Вопрос задан 3 года назад

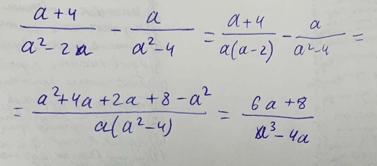
представьте в виде дроби:

Приложения:

Ответы

Ответ дал: toxar63
1

Сокращение примера прикреплено к фотографии:
Приложения:
Вас заинтересует