• Предмет: Физика
  • Автор: karapuz1486
  • Вопрос задан 3 года назад

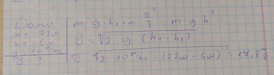
Д/з : розвязати задачу: Камінь падає з висоти 22 м. Яка його швидкість на висоті 6 м? Якою є швидкість каменя перед падінням на землю? Опором повітря знехтуйте.​

Ответы

Ответ дал: nasta83568
2

Ответ 17,8 м/с (объяснение на фото)

Приложения:
Вас заинтересует