помогите решить пожалуйста задачу по этому рисунку,нужно найти угол А,там всё написано, пожалуйста, помогите...
Приложения:
Ответы
Ответ дал:
1
Ответ:
Объяснение:
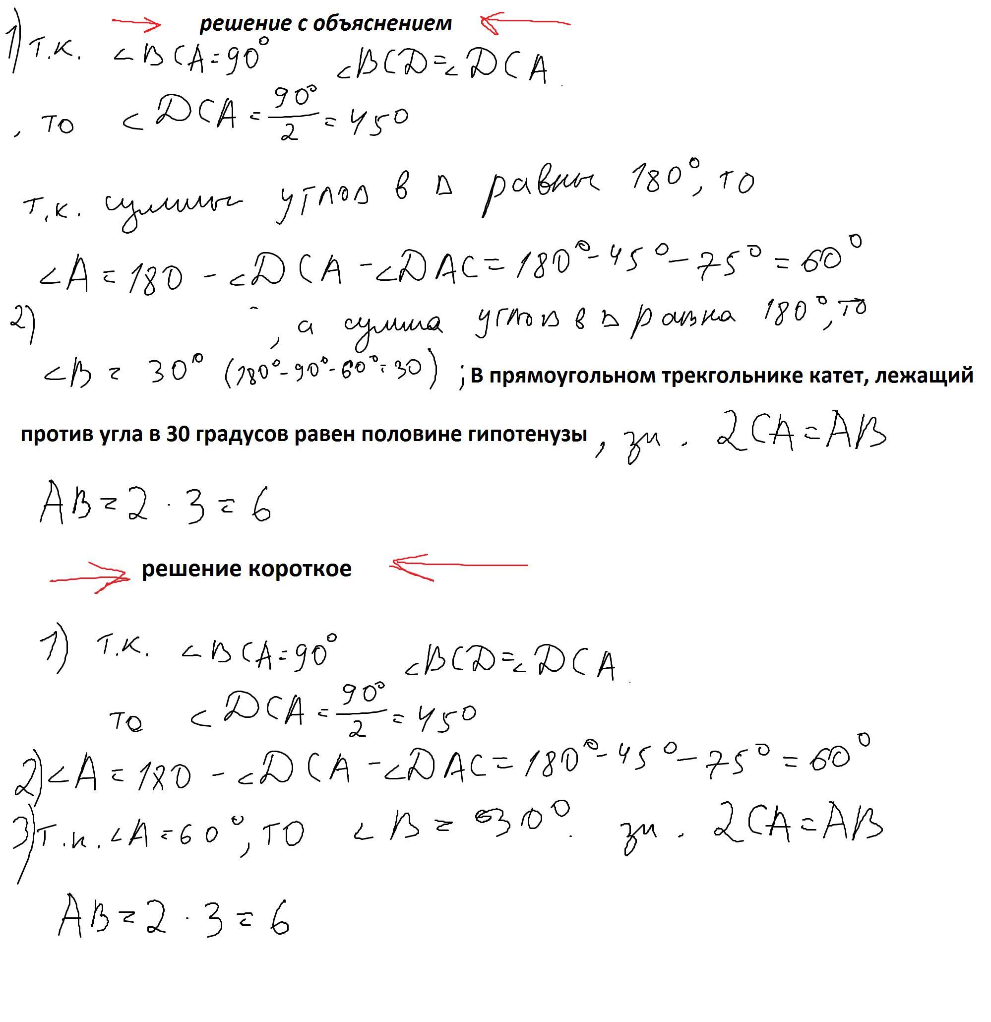
если угол ВСД = углу ДСА
Приложения:
Аноним:
спасибо большое
Вас заинтересует
2 года назад
2 года назад
3 года назад
3 года назад
8 лет назад
8 лет назад
9 лет назад
9 лет назад