• Предмет: Геометрия
  • Автор: nerinat419
  • Вопрос задан 3 года назад

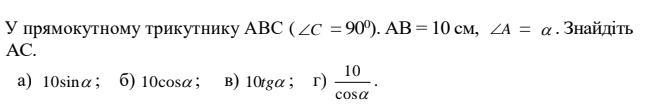
Помогите пожалуйста, срочно нужно, фото во вложении

Приложения:

Ответы

Ответ дал: Miroslava227
1

Ответ:

решение на фотографии.

Приложения:
Вас заинтересует