• Предмет: Геометрия
  • Автор: leyeg54909
  • Вопрос задан 3 года назад

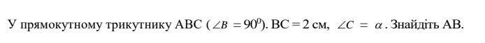
Помогите срочно, пожалуйста

Приложения:

Ответы

Ответ дал: paveleshmekov
1

Ответ:

А - 5,3

В - 6,1

Если не верно то Сорри


leyeg54909: спасибо
Вас заинтересует